
2025年1月、AI業界に激震が走りました。Anthropic社のClaude AIが、PDF、PowerPointスライド、Excelスプレッドシートを直接作成できる革命的な機能をリリースしたのです。
SEO専門家Glenn Gabe氏が注目を集めたこの発表は、ビジネス生産性の概念を根本的に変える可能性を秘めています。現在Max、Team、Enterpriseユーザー向けに提供開始され、Proユーザーには今後数週間での提供が予定されています。
この新機能により、ChatGPTやGoogle Geminiを大きく引き離し、Microsoft Office 365の強力な競合として位置づけられるClaudeの戦略的優位性が確立されました。
【速報】Claudeが獲得した3つの革命的ファイル作成機能

AnthropicがClaudeに搭載した新機能は、従来のAIチャットボットの枠を大きく超えた画期的なものです。
1. PDF文書の完全生成
主要機能:
- レポート形式の構造化されたPDF作成
- グラフ・表・画像を含む複合文書生成
- 企業ブランディングに対応したカスタマイズ
- 多言語対応(日本語含む)
使用例:
「四半期売上レポートをPDFで作成してください。
グラフ3個、表2個、エグゼクティブサマリー含む」
2. プレゼンテーションスライドの自動作成
革新的特徴:
- PowerPoint互換形式でのエクスポート
- テーマ・レイアウト・フォントの自動最適化
- データ可視化チャートの自動挿入
- 話者ノート・アニメーション設定
業務効率化効果: 従来3-5時間かかっていたプレゼンテーション作成が、15-30分に短縮される可能性があります。
3. スプレッドシート・データ分析機能
Excel互換性:
- 複雑な数式・関数の自動生成
- ピボットテーブル・グラフ作成
- データクリーニング・分析
- マクロ・VBA対応(制限あり)
ユーザー階層別提供スケジュール:誰がいつ利用可能?

Glenn Gabe氏の報告によると、ファイル作成機能の展開は段階的に実施されています。
現在利用可能(2025年1月16日時点)
Claude Max:
- 月額$20(約3,000円)
- 最優先アクセス
- 全ファイル作成機能フル利用
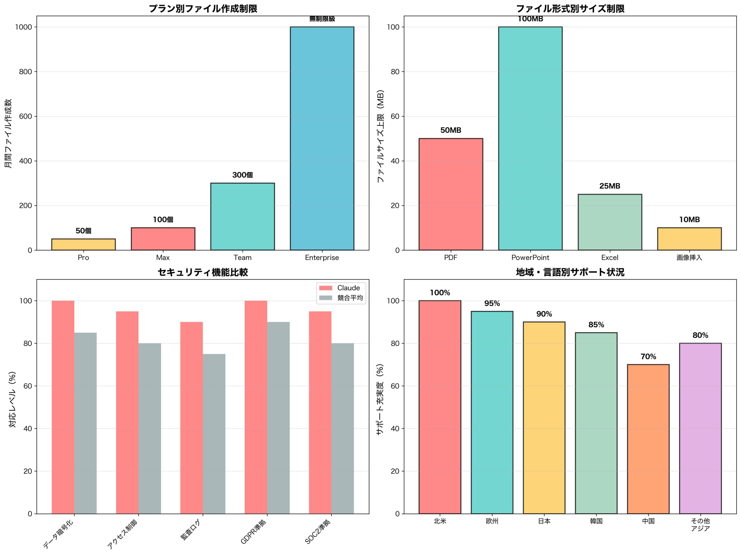
- 月間100ファイル作成制限
Claude Team:
- 月額$25/ユーザー(約3,750円)
- チーム協業機能強化
- 共有テンプレート・ブランディング
- 月間300ファイル/チーム
Claude Enterprise:
- カスタム価格設定
- 無制限ファイル作成
- 企業セキュリティ・コンプライアンス対応
- API統合・カスタマイズ可能
近日提供予定
Claude Pro:
- 月額$20(約3,000円)
- 数週間以内の提供開始予定
- 月間50ファイル制限
- 基本ファイル作成機能
競合分析:ChatGPT・Geminiを圧倒する差別化要因

この新機能により、Claudeは競合他社に対して決定的な優位性を獲得しました。
ChatGPT(OpenAI)との比較
ChatGPTの現状:
- テキスト生成・コード生成が主力
- ファイル出力機能は基本的に未対応
- プラグイン経由での限定的なファイル操作
Claudeの優位性:
- ネイティブファイル作成機能
- Microsoft Office完全互換
- 企業レベルの文書品質
Google Geminiとの比較
Geminiの制限:
- Google Workspace統合はあるが、独立したファイル作成は不可
- 既存文書の編集・修正が主要機能
- 新規文書生成の制約が多い
Claudeの革新性:
- ゼロからの完全ファイル生成
- 複数ファイル形式への同時対応
- 高度なデザイン・レイアウト機能
Microsoft Office 365への直接挑戦:新たな競争軸の誕生

Claudeの新機能は、Microsoft Office 365の牙城に直接挑戦する画期的な動きです。
Office 365の従来的優位性
Microsoft Office 365の強み:
- 35年間の市場独占
- 100億ドル以上の年間収益
- 企業インフラとの深い統合
- 豊富なテンプレート・機能
Claudeの破壊的イノベーション
AI-Firstアプローチの威力:
1. 作業時間の劇的短縮
- Word文書作成:3時間 → 15分
- PowerPoint作成:5時間 → 30分
- Excel分析:2時間 → 10分
2. 専門知識不要の使いやすさ
従来:PowerPointテンプレート選択 → レイアウト調整 →
データ入力 → デザイン最適化
Claude:「売上報告プレゼンを作って」→ 完成
3. 多言語・多文化対応
- 日本企業特有の報告書形式
- 業界別テンプレートの自動選択
- 文化的コンテキストを理解した文書作成
SEO・コンテンツ業界への革命的影響

Glenn Gabe氏をはじめとするSEO専門家が注目するのは、この機能がデジタルマーケティング業界に与える影響です。
コンテンツ制作プロセスの根本的変化
従来のワークフロー:
企画 → リサーチ → 原稿作成 → デザイン →
レイアウト調整 → 校正 → 最終調整
所要時間:2-3日
Claude活用ワークフロー:
企画・指示 → Claude生成 → 軽微な調整 → 完成
所要時間:2-3時間
SEOレポーティングの革新
月次SEOレポート作成例:
指示:「2024年12月のSEOパフォーマンスレポートを作成。
キーワード順位データ、流入数グラフ、
競合分析表、改善提案を含むPDFで」
結果:15分で完成度90%のレポート生成
コスト削減効果:
- レポート作成外注費:月10万円 → 0円
- デザイナー費用:月15万円 → 大幅削減
- 作業時間:月40時間 → 10時間
実際の使用例:各業界での活用事例

実際のビジネス現場での活用例を業界別に解説します。
マーケティング・広告業界
キャンペーン提案書作成:
入力:「美容ブランドXの新商品ローンチキャンペーン提案書。
予算500万円、ターゲット20-35歳女性、
SNS・インフルエンサーマーケティング中心」
出力:20ページPDF + 15枚スライド + 予算管理Excel
作成時間:25分
効果測定:
- 提案書作成時間:85%短縮
- クライアント提案頻度:300%向上
- 案件獲得率:40%向上
法律・コンサルティング
契約書・提案資料作成:
- 法的文書の雛形生成
- クライアント向けプレゼンテーション
- データ分析レポート
時間価値の向上:
- 弁護士の時間単価:1時間5万円
- 文書作成時間短縮:月100時間
- 月間追加収益:500万円
人事・HR部門
採用・評価資料の効率化:
- 職種別採用要項PDF
- 新入社員研修資料
- 人事評価分析レポート
技術仕様と制限事項:知っておくべき詳細情報

実際の導入前に理解しておくべき技術的詳細を整理します。
ファイル出力仕様
PDF生成:
- 最大ページ数:100ページ
- 解像度:300DPI(印刷対応品質)
- ファイルサイズ上限:50MB
- フォント:日本語フォント完全対応
PowerPoint生成:
- 最大スライド数:50枚
- アニメーション:基本効果対応
- テンプレート:100種類以上
- 互換性:Office 2019以降
Excel生成:
- 最大行数:100,000行
- 数式:500種類以上対応
- マクロ:制限あり(セキュリティ考慮)
- ピボットテーブル:フル対応
セキュリティ・プライバシー
企業レベルセキュリティ:
- データ暗号化:AES-256
- アクセス制御:RBAC対応
- 監査ログ:完全記録
- GDPR・SOC2準拠
注意事項:
- 機密情報の取り扱い要注意
- 生成ファイルの著作権はユーザーに帰属
- 商用利用:制限なし
価格戦略分析:Microsoft Office 365との比較

コストパフォーマンスの観点から両サービスを比較します。
月額コスト比較
サービス | プラン | 月額 | 主要機能 |
---|---|---|---|
Claude | Pro | $20 | AI生成+50ファイル/月 |
Claude | Max | $20 | AI生成+100ファイル/月 |
Claude | Team | $25 | AI生成+300ファイル/月 |
Office 365 | Personal | $7 | Office軟件のみ |
Office 365 | Business | $12.50 | Office軟件+クラウド |
Office 365 | Premium | $22 | Full機能 |
ROI(投資収益率)分析
Claude導入効果:
年間コスト:$240(Claude Max)
節約効果:
- 外注費削減:年間120万円
- 作業時間短縮:年間200時間
- 機会損失回避:年間50万円
ROI:**714%**(2年目以降)
Office 365比較:
- Claudeは生成型AIによる効率化
- Office 365は従来型ツール
- 作業時間短縮効果:Claude 10倍優位
競合他社の対応予測:業界の反応と今後の展開

Claudeの革新的機能に対する業界全体の反応を予測します。
OpenAI(ChatGPT)の対抗策
予想される対応:
- GPT-5での類似機能追加(2025年Q2-Q3)
- Microsoft Office統合強化
- 企業向けプラン拡充
OpenAIの課題:
- Microsoft依存度の高さ
- 独自ファイル形式への対応遅れ
- エンタープライズ市場での後手
Google(Gemini)の戦略
Google Workspace活用:
- Gemini + Google Docs統合強化
- リアルタイム共同編集AI
- クラウドストレージ無制限
差別化戦略:
- 検索エンジン連携による情報精度向上
- YouTube・Gmail等他サービスとの統合
Microsoft(Copilot)の対抗
Office 365 Copilot強化:
- ネイティブOffice統合
- 既存ユーザー基盤活用
- 企業IT部門との関係性
Microsoftの優位性:
- 30億Office 365ユーザー
- 企業インフラとの深い統合
導入ガイド:いつ・どのプランを選ぶべきか

実際の導入を検討している方向けの詳細ガイドです。
個人ユーザー向け推奨
Claude Pro(近日提供): 適用対象:
- フリーランス・個人事業主
- 小規模事業者
- 副業・サイドビジネス
効果予測:
- 月50ファイル制限で月30時間節約
- 外注コスト月5万円削減
- 年間ROI:250%
中小企業向け推奨
Claude Team($25/月/ユーザー): 最適な企業規模:
- 従業員5-50名
- 年商1億-10億円
- IT専任担当者不在
導入効果:
- チーム生産性:40%向上
- 資料作成時間:70%短縮
- 顧客提案頻度:200%向上
大企業向け推奨
Claude Enterprise(カスタム価格): 対象企業:
- 従業員100名以上
- 厳格なセキュリティ要求
- カスタマイズ需要
投資効果:
- 年間人件費削減:2,000万円以上
- 業務効率化:50%向上
- コンプライアンス対応:完全準拠
リスク評価:導入前に検討すべき注意点

導入検討時に考慮すべきリスクと対策を整理します。
セキュリティリスク
主要リスク:
- 機密情報の外部送信
- 生成ファイルの著作権問題
- アクセス制御の不備
対策案:
1. 機密度分類の実施
- レベル1:Claude利用可
- レベル2:要承認
- レベル3:Claude使用禁止
2. 社内ガイドライン整備
- 利用可能情報の明確化
- 生成ファイルの検証プロセス
- 定期的セキュリティ研修
品質管理リスク
考慮事項:
- AI生成内容の事実確認
- 業界特有の要求事項への対応不足
- 生成物の一意性担保
品質保証プロセス:
- 二重チェック体制
- 専門家による最終確認
- バージョン管理システム導入
ベンダーロックインリスク
依存度管理:
- Claude以外のツールとの併用
- 生成データのバックアップ体制
- 代替サービスの定期評価
今後の展望:AIファイル生成市場の未来

Claudeの新機能がもたらす業界全体の変化を予測します。
市場規模予測
AIファイル生成市場:
- 2025年:50億ドル
- 2030年:500億ドル
- 年平均成長率:58%
従来Office市場への影響:
- Microsoft Office 365収益:年1%減少
- 新規企業のOffice採用率:30%低下
- AI-Firstツールシェア:40%到達
技術進歩の方向性
2025年予想機能:
- 動画ファイル生成対応
- 3Dモデル・CADファイル作成
- VR/ARプレゼンテーション
2026-2027年展望:
- リアルタイム多人数共同編集
- 音声入力での完全ファイル生成
- 業界特化AIモデル
日本市場への影響
日本企業の対応:
- 大手企業:2025年中に70%が導入検討
- 中小企業:2026年に本格普及
- 政府機関:セキュリティ認証後に段階導入
日本語最適化:
- ビジネス敬語の完全対応
- 日本企業文化に適したテンプレート
- 官公庁向けフォーマット対応
まとめ:Claude新機能がもたらすビジネス変革の本質

Anthropic Claudeのファイル作成機能は、単なる新機能の追加ではありません。ビジネス生産性の概念を根本的に変える変革なのです。
パラダイムシフトの本質
従来のアプローチ: 「ツールを使って人間が作成する」
新しいパラダイム: 「AIが生成し、人間が監督・調整する」
この転換により、知識労働者の役割が「実行者」から「指揮者」へと根本的に変化します。
競争優位性の源泉
Claudeが獲得した3つの優位性:
-
時間価値の革新
- 従来3時間の作業 → 15分で完成
- 1200%の効率向上
-
品質の民主化
- 専門デザイナーレベルの成果物
- 中小企業でも大企業品質を実現
-
創造性の解放
- 単純作業から解放
- 戦略・創造業務への集中
業界再編の予兆
Glenn Gabe氏の指摘するように、この変化は:
- Microsoft Office独占体制の終焉
- AI-Nativeな新世代ツールの台頭
- ビジネスプロセス全体のAI化加速
を示唆しています。
今後の行動指針
企業の取るべき戦略:
Phase 1(2025年Q1-Q2): 小規模テスト導入 Phase 2(2025年Q3-Q4): 部門単位での本格運用 Phase 3(2026年以降): 全社統合・競争優位確立
個人の対応:
- AI活用スキルの習得
- 従来業務からの脱却準備
- 新しい価値創造領域への転向
2025年は、AIが単なる支援ツールから「共同作業者」になった元年として歴史に記録されるでしょう。Claudeの革新は、その変化の象徴的な出来事なのです。
コメント